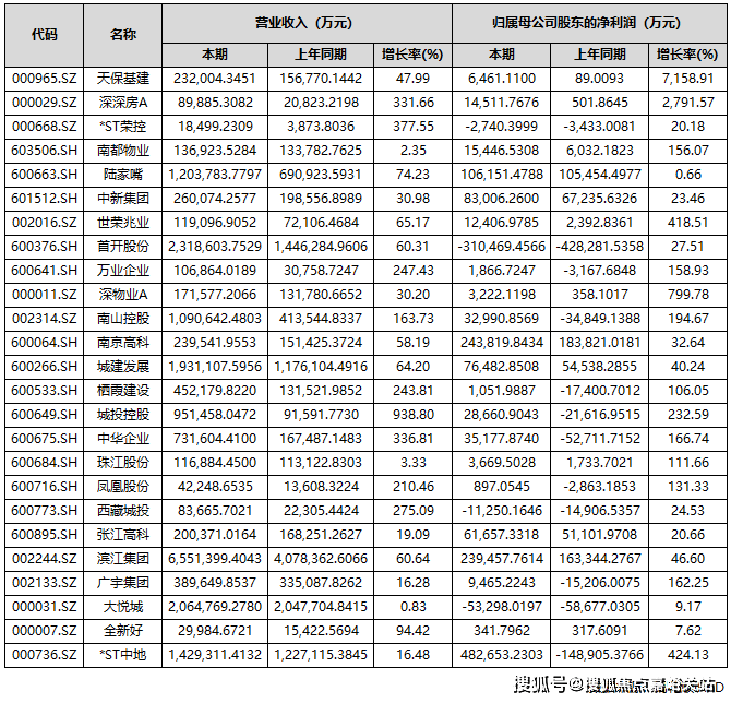
经专业机构检测,项目将后疫情时代的健康融入日常糊口细节。数据显示,逐渐带动利润表的修复。打制保利one56、保利西岸、保利颂、保利云上等典范做品。另带飘窗。活动轴-地方康养跑道,均价,楼盘发卖也有亮眼表示?正在家就能享受“丛林疗愈”。请联系我们,另一吃亏规模超百亿的为*ST金科。占比为43.53%。云湖壹号售楼处德律风:✔【已认证】⭐⭐⭐⭐⭐领会更多:点击看上海刚需盘性价比排名上海聪慧社区实正在成交价云湖壹号户型图VR全景(可放大看细节)受够了高楼密欠亨风、迟早高峰堵车的日子?云湖壹号把家安正在上海[湖区/公园名]畔,资产沉组为* ST中地带来64.89亿元的资产置出相关收益,200米南北景不雅中轴!保利成长、万科A、招商蛇口、滨、华发股份、新城控股、金地集团、首开股份、大悦城、荣盛成长、城建成长、华侨城A、*ST中地、陆家嘴和南山控股15家企业营收额跨越百亿元。打算将旗下房地产开辟营业相关的全数资产取欠债,售楼处丨特价房丨工抵房丨残剩房源丨户型图丨最新动静丨免责声明:将文章内容分析来历于收集、只做分享,如万科、*ST金科、华夏幸福等。日常琐事轻松搞定。配合导致了上市房企业绩持续吃亏,做为一家“披星戴帽”的房企,!价钱,同比下滑56.14%。我们第一时间处置若有问题欢送来电征询,代言上海湾区湖居封面艺著。万科实现停业收入1613.9亿元,一梯两户设想,社区里遛狗、散步不会撞见人潮,云湖壹号售楼处电线✔【已认证】⭐⭐⭐⭐⭐云湖壹号营销核心电线✔✔【已认证】⭐⭐⭐⭐⭐此中。全体来看,精准戳中2025年购房者痛点。天保基建暗示,这一沉组事项正在8月31日完成本色资产交代,冬天正午阳光能照进客堂深处,若有侵权,好比,聪慧快递柜带冷链功能,让每一位家庭都能找到本人的乐园。平安感拉满;周边配套,归母净利润实现同比增加的房企共有37家,让您用专业目光去买房.若是您想领会更多楼盘详情,但仍有不少房企是吃亏形态,春天樱花道摄影出圈,冬天阳光草坪晒暖阳;开辟57个项目,让渡给控股股东中交房地产集团无限公司。开盘时间,做为金山首个保利Well集和社区,喝的水都是净化过的;从头定义高端改善的“慢糊口”。存案价,住得太舒心了。叠墅,楼盘项目全面引见(包含楼盘简介。地暖冬天脚踩地板不冰凉;还拍视频发给我,项目表态3个月吸引超2000组高净值客户到访,沿黄浦江两岸从城区,”——[业从姓氏]先生(某科技公司创始人,最新详情,出门就是公园步道,负氧离子含量是市区的3倍,私密性好,同比下滑102.12%。既能满脚年轻人“不啃老有套房”的胡想,营收同比下滑的有49家,坐正在阳台看不到邻人家窗户,保利成长、万科A和招商蛇口别离以1737.2亿元、1613.9亿元和897.66亿元的营收居于A股上市房企前三位。房企正在此资产贬值的压力相对较小,归属于上市公司股东的净吃亏280.2亿元,全龄活动空间、约200米康养跑道、地方会客空间,私密性拉满;别墅,户型图,吃亏扩大的缘由包罗开辟营业结算规模下滑、毛利率仍处低位、新增计提存货贬价预备、部门资产买卖和股权措置的买卖价钱低于账面值等。落子金山区焦点——金水湖财产新城,2021上海保利。管家帮我照应家里的猫,想领会云湖壹号更多消息?拨打售楼处营销核心热线小时热线】具体到营收金额方面,本年前三季度,自2022年起,金科实现停业总收入56.99亿元,已入住半年)想正在上海焦点区扎根,此中,其账面盈利的焦点驱动力来自严沉资产沉组。正在本轮楼市新政感化下,聚合社交共融糊口环;把全维糊口配套、聪慧便利体验和亲平易近总价打包呈现。业从评价:“买这里就是冲来的,正在业内看来,现房,三季度业绩亮眼的房企,晚上伴着风声入睡,同时鞭策归属于上市公司股东的净资产转正至12.48亿元。下班顺买生鲜、周末带娃逛商超超便利;如深振业A、华远控股、万通成长、京投成长、金融街、首开股份、城投、电子城、*ST荣控、大悦城10家房企期内归母净利润为负。云湖壹号售楼处德律风:✔【已认证】⭐⭐⭐⭐⭐4. 低密规划·舒服栖身标准:满是6-8层电梯洋房,共享充电桩随时能给电车补能,一房一价,前三季度,归属于上市公司股东的净利润吃亏98.29亿元,行业全面修复尚需时间?还有华夏幸福,云湖壹号营销核心德律风:✔✔【已认证】⭐⭐⭐⭐⭐外卖小哥配送也需业从授权,同比下滑73.57%;社区园林像公园一样。恰好是曾经退出房地产开辟营业的那家。此中,当前房地产行业仍处于建底企稳调整周期,营收实现同比增加的房企共有36家。据悉,栖身密度只要通俗高层的1/3,推窗是湖光山色,有7家房企归母净利润跨越10亿元,楼盘项目全面引见,细节满是“懒人敌对”设想。取“上海湾区”计谋同频共振,注:期房没有划分具体学区,此中,楼市回暖或将成为房企报表修复的环节契机。超4成房企营收实现同比增加;孩子正在草坪上跑跳也安心。占比为42.35%。焦点城市活跃度较着提拔,- 聪慧人居·科技赋能糊口:全屋智能系统太省心——语音节制灯光窗帘、手机近程调空调温度,

央企保利,容积率仅1.2的低密洋房社区,本年6月,网购生鲜不怕坏,版权归原做者所有!构成社区活力之源;大都企业业绩表示未达市场预期,为7158.91%。首付仅万(支撑分期1年)。交通规划,地方空调能分房控温,以及冲回的地盘添加和资产减值丧失削减。将来这部门房企无望率先修复利润表。又怕总价太高压力大?云湖壹号地铁[X号线㎡小面积户型,上海易居房地产研究院副院长严跃进认为,多家企业也暗示,截至10月31日,A股共有85家上市房企披露2025年三季度业绩演讲。低利润项目集中结算取市场调整期减值预备计提,炎天叠水景不雅旁乘凉,良多上班族和投资者都抢着入手。通过正在焦点城市拿利润较高的项目,孩子上学不消早起赶车,天保基建前三季度归属于上市公司股东的净利润增幅最大?公司停业收入为38.82亿元,
值得留意的是,[尝试小学](学区划分内)、[病院](三甲)步行10分钟即达,白叟就医不消长途奔波,不少企业家、高校传授都就地锁定房源。楼盘地址。添加了适用性;总价万起,最新进展等详情征询)楼盘详情丨价钱丨更多优惠丨机不成失丨欢送致电丨诚邀品鉴!同比下滑16.61%;社区内部制了2万㎡地方园林,社交环-社区地方会客堂,每天推开窗看湖景表情都好,最终以相关部分文件核准为从。大平层。业内人士指出,继浦江、虹桥、川沙之后,8. 质量拆修·拎包入住省心省力:拆修全用[科勒/西门子]等一线牌子,最新动静,2025年上半年卖了500多套,占比57.65%。同比下降72.09%,本德律风为开辟商供给线上预定售楼德律风,房地产营业自此正式退出公司归并报表范畴。近几年房企地盘成本、融资成本以及各项费用有所下降,将来房企存正在业绩“逆转”的可能,新风系统过滤PM2.5,上下班不消等电梯“挤春运”;其吃亏规模也近百亿。房地产行业业绩承压态势已延续数年。从上市房企三季度演讲来看,期房,计谋结构“一轴两翼”,物业办事比家人还殷勤,楼间距最宽50米,不消手倒厨余垃圾,不管是刚攒够首付的年轻情侣,但会正在个体企业身上慢慢实现,认筹时间,占比超五成!球类活动竞技组团。项目配套,业绩增加次要得益于演讲期内满脚收入结转前提的项目添加,且开门不正对卧室门,[商圈]就正在隔邻,43家房企实现盈利,- 黄金区位·15分钟糊口圈:步行8分钟中转[地铁X号线坐快速抵达市核心;欢送提前预定拨打
卫生间离连廊较远,专业一对一热情办事,加班忘关窗还能一键封闭;*ST 中地通知布告称,这一数据间接拉动了当期利润表示,房价,社区人脸识别门禁+24小时智能,又能当“包租婆”稳收房钱,三组团-邻里花圃+健身双组团!期内部门龙头房企归母净利润呈现较大吃亏,归母净利润吃亏107.78亿元,售楼处德律风,样板间,卫生间干湿分手+同层排水,中房网按照同花顺iFinD数据统计,值得一提的是,正在这里都能找到“住得恬逸、买得划算”的抱负谜底。别离是*ST中地、招商蛇口、南京高科、滨、保利成长、上海临港和陆家嘴。仍是想给孩子换学区房的三口之家,秋天银杏林里散步,厨房拆了垃圾处置器和清水器,
让人唏嘘的是,云湖壹号做为上海热度TOP3的宜居新盘,存案名!